
Le travail de modélisation de Lorenz sur la convection atmosphérique nous offre un excellent exemple d’attracteurs étranges chaotiques.
Objectifs
Mathématiques
- Résoudre numériquement le système d’équations différentielles de Lorenz
- Visualiser dans l’espace des phases en 3D
- Visualiser l’influence des conditions initiales
Informatiques
- Utiliser un générateur Python (yield)
- Tracer des courbes en 3D
- Animer une fenêtre matplotlib
- Enregistrer des animations en .gif ou mp4
L’origine du papillon
En 1962, Edward Norton Lorenz publie un modèle simplifié d’atmosphère basé sur les équations de Navier-Stokes.

En 1972, il propose ce titre célèbre :
Le battement d’ailes d’un papillon au Brésil peut-il provoquer une tornade au Texas ?
C’est l’origine de l’Effet papillon.
Vidéo : Science étonnante – Le chaos
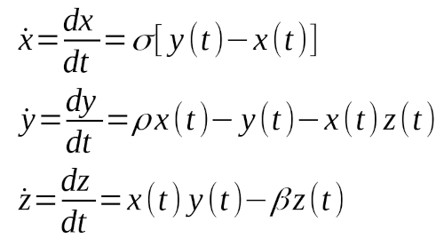
Les équations de Lorenz

def lorenz(x, y, z, s=10, r=28, b=2.667):
x_point = s*(y - x)
y_point = r*x - y - x*z
z_point = x*y - b*z
return x_point, y_point, z_point
def lorenz_gen(x0, y0, z0):
x, y, z = x0, y0, z0
dt = 0.01
while True:
yield x, y, z
x_point, y_point, z_point = lorenz(x, y, z)
x = x + x_point * dt
y = y + y_point * dt
z = z + z_point * dt
Visualisation 3D

import matplotlib.pyplot as plt
from mpl_toolkits.mplot3d import Axes3D
NbPasMax = 10000
xs, ys, zs = [], [], []
position = iter(lorenz_gen(0., 1., 3.))
for i in range(NbPasMax):
x, y, z = next(position)
xs.append(x)
ys.append(y)
zs.append(z)
fig = plt.figure()
ax = plt.axes(projection='3d')
ax.plot(xs, ys, zs, lw=0.5)
plt.show()
Sensibilité aux conditions initiales
En 1961, Lorenz découvrit que des conditions initiales légèrement différentes produisaient des trajectoires complètement divergentes.
« Tout système physique ayant un comportement non périodique est imprévisible. » – Edward Lorenz

Animations spectaculaires

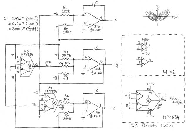
Circuit électronique
Il est possible de construire un circuit électrique réel visualisant le papillon de Lorenz sur oscilloscope :

Conclusion
Notre incapacité à mesurer les conditions initiales avec précision infinie implique qu’il nous sera à jamais impossible de prédire l’avenir avec certitude !
Documentaire : CHAOS: UNE AVENTURE MATHÉMATIQUE
Dépôt GitHub : algo-chaos/2.PapillonDeLorenz